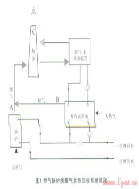
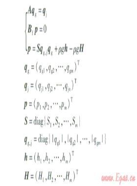
摘 要:混合胺液脫碳法具有吸收能力強、反應速度快、適用范圍廣、再生能耗低等許多優(yōu)點,得到了越來越多的關注。為此,采用帶有磁耦合攪拌的高壓反應釜,進行了不同濃度配比MDEA+M
技術研究
技術研究
技術研究
技術研究
技術研究
技術研究
技術研究
技術研究
技術研究
技術研究
技術研究
技術研究
技術研究
技術研究
技術研究
技術研究
技術研究
技術研究
技術研究
技術研究
技術研究
技術研究
技術研究
技術研究